Fa la corrente di trasporto neutro in monofase
Importanza del filo neutro
Secondo il codice elettrico internazionale (IEC), il terreno viene chiamato Terra protettiva (PE), e neutro è n.
A che serve il filo neutro nell’approvvigionamento domestico monofase? [duplicare]
Sono consapevole che il filo neurtal fornisce un percorso di ritorno per la corrente alla fonte di alimentazione. Ma anche quel filo neutro è collegato a terra tra il carico e la sorgente. La mia domanda è: perché usare tre fili dal vivo, neutro e terreno? Invece possiamo usare due fili dal vivo e macina. Un’altra domanda: due motivi di località diverse hanno lo stesso potenziale? Se hanno potenziali diversi, questo è il motivo per cui usiamo neutro come riferimento comune sia per il carico che per la fornitura?
Chiesto il 19 giugno 2020 alle 17:24
51 5 5 badge in bronzo
19 giugno 2020 alle 17:34
$ \ begingroup $ Nota che molti tipi di spine sono reversibili: puoi scambiare live e neutrali collegandoli a testa in giù. Ma il terreno non è mai reversibile $ \ endgroup $
19 giugno 2020 alle 23:03
3 risposte 3
$ \ begingroup $
Nel tipico cablaggio della casa nordamericana, il terreno e il neutro sono legati insieme al pannello e anche a una canna di terra. Tuttavia, i fili neutri e di terra hanno missioni diverse:
– Neutral Carrys Return Current. È sempre necessario per un feed a gamba singola (come una spina a 2 fili.) È facoltativo che un feed a 2 gamba trasportasse qualsiasi corrente di squilibrio. Maggiori informazioni su questo sotto.
– Il terreno porta la corrente solo in caso di guasto. Fornisce un percorso per un corto da linea a telaio al pannello, impedendo o riducendo la possibilità di scosse elettriche.
Esempi di come neutro e terreno vengono utilizzati nel normale cablaggio da 120 V/240 V:
– Presa da 120 V a 2 punte: L1 e neutro; Tutto il ritorno è su neutro
– Ricetta a 3 punte da 120 V: L1, neutro, terreno; Tutto il ritorno è su neutro
– Outlet asciugale a 3 punte da 240 V: L1, L2, neutro; Neutral trasporta un ritorno squilibrato di 120 V (E.G., motore asciugale)
– Outlet a 4 punte da 240 V: L1, L2, neutro, terra; Neutral trasporta un ritorno squilibrato di 120 V (E.G., motore asciugale)
– Alimentazione da forno da 240 V a 3 fili: L1, L2, terra: il carico è bilanciato, quindi non è necessario neutro.
Risposta il 19 giugno 2020 alle 20:53
hacktastical hacktastical
48.6k 2 2 badge d’oro 45 45 badge d’argento 134 134 badge di bronzo
$ \ begingroup $
Perché usare tre fili dal vivo, neutro e terreno?
Con solo due fili, dovresti usare la neutra per “messa a terra” la parte metallica dell’attrezzatura. Sto pensando a pentole, frigoriferi, hi-fi, ferro ecc..
Lo fai perché se la rottura interna del filo vive e toccasse inaspettatamente la custodia in metallo dell’appliance, si desidera che una corrente significativa “terrestre” fluisca e soffia il fusibile rivelando così una situazione pericolosa.
Tuttavia, con solo due fili, se vivi e neutrali sono stati scambiati il problema non lo farebbe Sii auto-rivelatore e sarebbe altamente pericoloso per chiunque venga in contatto con il caso dell’attrezzatura. L’attrezzatura sembrerebbe funzionare ma essere altamente pericolosa perché le parti metalliche esposte del caso sono al potenziale in diretta.
Con un terzo filo (in particolare un filo di terra), se il cablaggio sulla spina si è incasinato e il vivo e neutro è stato scambiato, il terzo filo di terra è ancora collegato alle parti metalliche esposte della custodia e non ci sarebbe un problema di sicurezza. Con ogni probabilità l’attrezzatura funzionava ancora correttamente ma è ancora sicura.
Se neutro e Terra venissero scambiati inavvertitamente, ancora una volta non dovrebbe esserci un vero problema di sicurezza perché il filo neutro che è erroneamente collegato alle parti metalliche esposte sarebbe ancora in grado di “terra” quelle parti metalliche esposte e la sicurezza viene conservata.
Se Live and Earth si è incasinato, questo è un difetto autovelativo perché l’attrezzatura non potrebbe funzionare con neutro e terra collegata a dove neutro e dal vivo normalmente andrebbe. Non è eccezionale ma è auto-rivelatore e relativamente sicuro. Naturalmente con gizmos moderni come i dispositivi residui di corrente (RCD), quelle parti metalliche esposte che sono impropriamente collegate alla vita probabilmente inciamperebbero l’RCD.
Innanzitutto si tratta di sicurezza.
Importanza del filo neutro
In questo articolo, discutiamo di cosa sia il filo neutro e la sua importanza nelle installazioni elettriche. Se guardiamo l’installazione elettrica di una casa, normalmente abbiamo due core di cavo per fase e un altro per neutro. Il flusso di corrente tra il cavo di fase, il carico e il cavo neutro.

Inoltre, per sicurezza, è installato un terzo cavo che si chiama terreno in cui la corrente non dovrebbe fluire, ma è un percorso sicuro nel caso in cui il cavo di fase sia danneggiato e entra in contatto con il telaio e non passa attraverso le persone.
Il filo neutro è quello che consente alla corrente di tornare e funge da conduttore di ritorno della corrente che circola attraverso i circuiti monofase. Ad esempio: se una lampadina è collegata solo alla fase, non può funzionare in quanto non ha un neutro in modo che gli elettroni possano circolare.
In un sistema elettrico, “Filo neutro” è una caratteristica, non una specifica di produzione.
Il termine neutro è associato al fatto che viene utilizzato come parte di un sistema di distribuzione della tensione alternata con una o più fasi. In questi casi, un cavo ha una tensione fissa (dire zero) e il secondo cavo ha una tensione variabile (o fase) riguardo a questo cavo.
Ad esempio, 220 volt a 5
Importanza del filo neutro
Secondo il codice elettrico internazionale (IEC), il terreno viene chiamato Terra protettiva (PE), e neutro è n.
A che serve il filo neutro nell’approvvigionamento domestico monofase? [duplicare]
Sono consapevole che il filo neurtal fornisce un percorso di ritorno per la corrente alla fonte di alimentazione. Ma anche quel filo neutro è collegato a terra tra il carico e la sorgente. La mia domanda è: perché usare tre fili dal vivo, neutro e terreno? Invece possiamo usare due fili dal vivo e macina. Un’altra domanda: due motivi di località diverse hanno lo stesso potenziale? Se hanno potenziali diversi, questo è il motivo per cui usiamo neutro come riferimento comune sia per il carico che per la fornitura?
Chiesto il 19 giugno 2020 alle 17:24
51 5 5 badge in bronzo
19 giugno 2020 alle 17:34
\ $ \ begingroup \ $ Nota che molti tipi di spine sono reversibili: è possibile scambiare live e neutrali collegandoli a testa in giù. Ma il terreno non è mai reversibile \ $ \ endgroup \ $
19 giugno 2020 alle 23:03
3 risposte 3
\ $ \ begingroup \ $
Nel tipico cablaggio della casa nordamericana, il terreno e il neutro sono legati insieme al pannello e anche a una canna di terra. Tuttavia, i fili neutri e di terra hanno missioni diverse:
- Neutral Carrys Return Current. È sempre necessario per un feed a gamba singola (come una spina a 2 fili.) È facoltativo che un feed a 2 gamba trasportasse qualsiasi corrente di squilibrio. Maggiori informazioni su questo sotto.
- Il terreno porta la corrente solo in caso di guasto. Fornisce un percorso per un corto da linea a telaio al pannello, impedendo o riducendo la possibilità di scosse elettriche.
Esempi di come neutro e terreno vengono utilizzati nel normale cablaggio da 120 V/240 V:
- Presa da 120 V a 2 punte: L1 e neutro; Tutto il ritorno è su neutro
- Ricetta a 3 punte da 120 V: L1, neutro, terreno; Tutto il ritorno è su neutro
- Outlet asciugale a 3 punte da 240 V: L1, L2, neutro; Neutral trasporta un ritorno squilibrato di 120 V (E.G., motore asciugale)
- Outlet a 4 punte da 240 V: L1, L2, neutro, terra; Neutral trasporta un ritorno squilibrato di 120 V (E.G., motore asciugale)
- Alimentazione da forno da 240 V a 3 fili: L1, L2, terra: il carico è bilanciato, quindi non è necessario neutro.
Risposta il 19 giugno 2020 alle 20:53
hacktastical hacktastical
48.6k 2 2 badge d’oro 45 45 badge d’argento 134 134 badge di bronzo
\ $ \ begingroup \ $
Perché usare tre fili dal vivo, neutro e terreno?
Con solo due fili, dovresti usare la neutra per “messa a terra” la parte metallica dell’attrezzatura. Sto pensando a pentole, frigoriferi, hi-fi, ferro ecc..
Lo fai perché se la rottura interna del filo vive e toccasse inaspettatamente la custodia in metallo dell’appliance, si desidera che una corrente significativa “terrestre” fluisca e soffia il fusibile rivelando così una situazione pericolosa.
Tuttavia, con solo due fili, se vivi e neutrali sono stati scambiati il problema non lo farebbe Sii auto-rivelatore e sarebbe altamente pericoloso per chiunque venga in contatto con il caso dell’attrezzatura. L’attrezzatura sembrerebbe funzionare ma essere altamente pericolosa perché le parti metalliche esposte del caso sono al potenziale in diretta.
Con un terzo filo (in particolare un filo di terra), se il cablaggio sulla spina si è incasinato e il vivo e neutro è stato scambiato, il terzo filo di terra è ancora collegato alle parti metalliche esposte della custodia e non ci sarebbe un problema di sicurezza. Con ogni probabilità l’attrezzatura funzionava ancora correttamente ma è ancora sicura.
Se neutro e Terra venissero scambiati inavvertitamente, ancora una volta non dovrebbe esserci un vero problema di sicurezza perché il filo neutro che è erroneamente collegato alle parti metalliche esposte sarebbe ancora in grado di “terra” quelle parti metalliche esposte e la sicurezza viene conservata.
Se Live and Earth si è incasinato, questo è un difetto autovelativo perché l’attrezzatura non potrebbe funzionare con neutro e terra collegata a dove neutro e dal vivo normalmente andrebbe. Non è eccezionale ma è auto-rivelatore e relativamente sicuro. Naturalmente con gizmos moderni come i dispositivi residui di corrente (RCD), quelle parti metalliche esposte che sono impropriamente collegate alla vita probabilmente inciamperebbero l’RCD.
Innanzitutto si tratta di sicurezza.
Importanza del filo neutro
In questo articolo, discutiamo di cosa sia il filo neutro e la sua importanza nelle installazioni elettriche. Se guardiamo l’installazione elettrica di una casa, normalmente abbiamo due core di cavo per fase e un altro per neutro. Il flusso di corrente tra il cavo di fase, il carico e il cavo neutro.

Inoltre, per sicurezza, è installato un terzo cavo che si chiama terreno in cui la corrente non dovrebbe fluire, ma è un percorso sicuro nel caso in cui il cavo di fase sia danneggiato e entra in contatto con il telaio e non passa attraverso le persone.
Il filo neutro è quello che consente alla corrente di tornare e funge da conduttore di ritorno della corrente che circola attraverso i circuiti monofase. Ad esempio: se una lampadina è collegata solo alla fase, non può funzionare in quanto non ha un neutro in modo che gli elettroni possano circolare.
In un sistema elettrico, “Filo neutro” è una caratteristica, non una specifica di produzione.
Il termine neutro è associato al fatto che viene utilizzato come parte di un sistema di distribuzione della tensione alternata con una o più fasi. In questi casi, un cavo ha una tensione fissa (dire zero) e il secondo cavo ha una tensione variabile (o fase) riguardo a questo cavo.
Ad esempio, 220 volt a 50Hz o 110 volt a 60Hz. Nella distribuzione trifase, vengono utilizzati cavi neutri e bidimensionali o solo cavi 3fase senza neutrali.
È corretto collegare il neutro di un’installazione a terra?

Se abbiamo una bassa offerta dalla società di generazione di energia, generalmente avremo tre fasi e un neutro e il neutro deve distribuire dalla società e deve essere messo a terra. Il neutro del trasformatore sul lato secondario è messo a terra per la sicurezza di persone e attrezzature.
Ma una volta che siamo nella nostra installazione interna, deve avere una messa a terra indipendente dal neutro. Quindi, i colori del cavo sono marrone, nero e grigio per fasi, colore blu per neutro, e il verde giallo per terra nell’installazione elettrica. Ecco come vengono realizzate quasi tutte le installazioni a bassa tensione. Pertanto, in linea di principio, non è corretto per noi confondere neutro e terra nell’installazione della nostra casa.
Perché un filo caldo in un sistema elettrico a casa ci colpisce se lo toccassimo, ma uno neutro ha vinto’T?
Il filo neutro è al potenziale terrestre, cioè, Potenziale zero. Lo stesso potenziale zero che una persona ha quando si trova a terra. Pertanto, anche la differenza di potenziale elettrico tra il neutro e una persona è zero, quindi nessuna corrente fluisce dal corpo neutro al corpo umano e la persona non è fulminata.
Tuttavia, la società di distribuzione dell’energia deve avere il neutro effettivamente connesso alla Terra. In luoghi molto secchi, la potenziale differenza tra neutro e terra spesso supera 10 o 20 volt CA, il che rende pericoloso toccare il filo neutro. Pertanto, la resistenza alla terra deve essere il più minimo possibile per avere la minima tensione tra neutro e la terra.
Perché abbiamo bisogno di un filo neutro?
Abbiamo bisogno di due conduttori per la trasmissione di energia elettrica perché la corrente viene generata solo quando gli elettroni si spostano da un punto a un altro. Il conduttore neutro fornisce il percorso di ritorno per il movimento degli elettroni e quindi la corrente elettrica scorre attraverso il carico.
In un sistema elettrico trifase, la corrente neutra è la somma vettoriale delle correnti a tre righe. Se il sistema di alimentazione è bilanciato, che la simmetria della sua onda in 120 gradi elettrici e con un carico lineare trifase perfettamente bilanciato, la corrente neutra è uguale a zero. Tuttavia, se il carico è sbilanciato, il filo neutro trasporta la corrente di sbilanciamento attraverso di esso.
Differenza tra filo neutro e filo di terra
Secondo il codice elettrico internazionale (IEC), il terreno viene chiamato Terra protettiva (PE), e neutro è n.
Filo neutro

Il neutro è un punto neutro tra le diverse fasi. La tensione è inferiore tra fasi e neutra della tensione tra le fasi. Il filo neutro trasporta correnti tra i circuiti di fase al neutro attraverso il carico.
Filo di terra
Il filo di terra non fa parte del circuito elettrico. Serve a proteggere l’attrezzatura e gli utenti in caso di guasto elettrico. Il filo di terra restituisce le correnti al trasformatore per eliminare potenziali differenze negli oggetti metallici esposti. Un terreno ben collegato impedisce un incidente ottenendo in viaggio il relè di protezione differenziale o il relè di faglia di terra quando si rileva la perdita.
Perché il neutro dovrebbe essere messo a terra in un’installazione elettrica?
Il punto neutro è messo a terra per motivi di sicurezza. Il neutro fornisce sicurezza agli umani e alle attrezzature. Nel caso di guasti all’isolamento, la corrente di sbilanciamento fluisce e il conduttore neutro porta questa corrente di sbilanciamento. Il dispositivo di protezione che rileva la corrente del filo neutro gira l’interruttore e isola la sezione difettosa.
Assicura inoltre che la tensione tra fase e terra sia la stessa di fase e neutra (sembra ovvia ma non). Quando il neutro non è messo a terra, un’alta tensione da un trasformatore difettoso o un fulmine può aumentare la tensione tra fase e terra e ha indotto un’alta tensione può causare guasti all’isolamento.
In alcune installazioni, viene utilizzato il neutro fluttuante, il che consente di rilevare guasti di isolamento prima che si verifichi una perdita.
Importanza del filo neutro
- Il cavo collegato al punto neutro crea una differenza potenziale che consente la corrente elettrica attraverso il conduttore di fase. Il flusso di corrente elettrica si stabilisce nel conduttore di fase perché il filo neutro è a potenziale zero. La funzione principale del filo neutro è fornire un percorso alla corrente di fase per un carico monofase. E il conduttore neutro porta la corrente di fase di sbilanciamento in un sistema trifase a 4 fili.
- Per la trasmissione dell’energia elettrica, ci deve essere una differenza di tensione. La corrente può fluire in due conduttori solo se esiste una differenza di tensione. La differenza di potenziale tra la fase e neutro provoca il movimento degli elettroni dal potenziale inferiore al potenziale più elevato. Di conseguenza, il flusso di corrente dalla sorgente di alimentazione al carico e la corrente ritorna alla sorgente attraverso il filo neutro. Pertanto, la differenza di tensione tra il cavo di fase e il cavo neutro provoca il flusso di corrente elettrica.
- I fili neutri consentono alla corrente di tornare e fungere da Conduttore di ritorno. Pertanto, senza un filo neutro, la corrente elettrica non completa il suo percorso.
L’importanza del filo neutro è fondamentale nell’installazione elettrica e la selezione delle dimensioni del filo neutro e altri fattori devono essere curati durante la progettazione del sistema.
- Perché i motori a induzione a 3 fasi non hanno bisogno di un neutro?
- Radicamento della resistenza e della reattanza
- Transmissione a corrente continua ad alta tensione | Trasmissione HVDC
- Perché l’armatura dell’alternatore è collegata in stella non in delta?
- Qual è l’importanza dello slittamento in un motore a induzione?
La corrente di trasporto del filo neutro? (Risposta)

Segnala questo annuncio

Il filo neutro in un circuito elettrico è spesso frainteso come un “morto” filo che non trasporta corrente. Tuttavia, questo non è necessariamente il caso. Il filo neutro può trasportare corrente in determinate circostanze. Quindi, la risposta alla domanda è sia sì che no, a seconda delle circostanze specifiche e della progettazione del sistema elettrico. In questo articolo, il ruolo del filo neutro sarà discusso insieme alla spiegazione di quando trasporta corrente. Verrà anche scoraggiata l’importanza di dimensionare e installare correttamente il filo neutro.
Un filo neutro trasporta qualsiasi carica?
Il filo neutro, in effetti, porta una carica. Serve come percorso per il ritorno della corrente del filo caldo. A causa della velocità con cui la corrente si muove in un circuito chiuso, vengono caricati sia i fili neutri che quelli caldi. Esso’vale la pena notare che il filo neutro è collegato al filo di terra. Per questo motivo, toccare un filo neutro può essere pericoloso. Quindi, puoi ottenere uno shock dal filo neutro? Sì, sicuramente puoi. Il filo di messa a terra deve essere correttamente installato affinché il circuito funzioni. Quando si tratta di come il filo neutro è collegato ai fili caldi e di terra, ci sono regolamenti rigorosi in atto. Esso’s da quello che chiamano loop di terra. Anche se lo sono ‘neutro’ fili, hanno una resistenza e un filo neurale abbastanza lungo può sviluppare una tensione che può causare uno shock. Se ci sono errori in questo settore, potrebbe mettere in pericolo le persone’vive. Il miglior modo di agire è esaminare come funziona il filo neutro nel circuito e garantire che la corrente abbia un percorso chiaro per la sua sorgente.
La corrente di trasporto del filo neutro in fase monofase?
In un Sistema monofase, Il filo neutro trasporta la corrente. Dovrebbe trasportare la stessa corrente del filo caldo. Al contrario, se viene utilizzata una configurazione trifase, la corrente sarà uniformemente bilanciata tra le tre fasi, eliminando la necessità di un filo neutro. Se il filo neutro non è correttamente collegato, può avere un effetto diretto su come scorre la corrente. Ricorda che il filo neutro’lo scopo è di fornire un percorso di ritorno naturale per la corrente all’interno del circuito. Il circuito non funzionerà correttamente se non esiste un percorso di ritorno. Il conduttore neutro non è richiesto in una configurazione trifase perché il design multifase garantisce che la corrente sia bilanciata. È necessario sapere come testare il filo dal vivo per controllare un filo neutro. Trova troppo il miglior tester di tensione non contatto, È necessario controllare le revisioni adeguate prima di acquistarne una. Ed è sempre meglio acquistare un prodotto da un marchio rispettabile che da un prodotto non marchio.
Dove passa la corrente attraverso il filo neutro?
La corrente neutra è diretta a terra. Questo è un punto di riferimento a tensione zero all’interno del circuito e un percorso di ritorno di corrente. Poiché questi fili sono interconnessi, la corrente scorrerà dal filo neutro al filo di terra. IL “circuito” è completato in questo modo. Supponiamo che la corrente neutra non abbia un percorso verso il terreno. Cosa succede in questo caso? La corrente scorre attraverso il filo neutro? Poiché la corrente neutra scorre attraverso il filo neutro, richiede comunque l’uso di una presa. Sfortunatamente, questo rende il circuito elettrico estremamente pericoloso per gli umani. Il contatto con il filo neutro può provocare uno shock. Ecco perché è richiesto un filo di terra. È inoltre necessario sapere correttamente a monte e a valle in eventi elettrici.
L’importanza di dimensionare e installare correttamente il filo neutro
- Innanzitutto, il filo neutro deve essere in grado di trasportare l’intero carico elettrico del circuito. Se il filo neutro non è adeguatamente dimensionato, può essere sovraccarico, portando al surriscaldamento e potenzialmente causando un incendio.
- In secondo luogo, il filo neutro deve essere correttamente collegato e messo a terra. Se il filo neutro non è correttamente messo a terra, può creare un pericolo per la sicurezza e aumentare il rischio di scosse elettriche o incendi.
- In terzo luogo, il filo neutro deve essere installato in base ai codici di costruzione locali e alle normative elettriche. Questi codici e regolamenti sono in atto per garantire la sicurezza dei sistemi elettrici e le persone che li usano.
È importante consultare un elettricista o un ingegnere qualificato durante l’installazione o la modifica di un sistema elettrico per garantire che il filo neutro sia adeguatamente dimensionato e installato.
La corrente scorre sul neutro?
Riepilogo
Il filo vivi trasporta la corrente di carico completo, mentre il filo neutro porta solo la differenza tra la corrente che scorre nel filo vivo e la corrente che scorre indietro attraverso il filo neutro.
In conclusione, il filo neutro consente il flusso di corrente elettrica dal carico alla sorgente. È importante installare correttamente il filo neutro per garantire il funzionamento sicuro ed efficiente del sistema elettrico.

Segnala questo annuncio
Redattore capo di Witingsolver.com
È per lo più noto per il suo talento verso tutte le cose elettriche. Come si può vedere chiaramente dalla maggior parte del suo lavoro. Il suo background in esso gli permette anche di avventurarsi in altri lati tecnici. Sta scrivendo qui in questo blog dall’inizio e ama giocare con i suoi splendidi scritti. Facebook • Twitter
Fa la corrente di trasporto neutro in monofase

CIAO…
Benvenuti in Electriciansjournal.com. Il mio nome è Jim Bernth, fondatore di elettricista’diario s. IO’Ve è stato un ingegnere elettrico per 36 anni e divertiti molto a scrivere articoli tecnici condensati su argomenti che possono beneficiare degli altri nel settore elettrico. Il mio obiettivo è riassumere e condensare argomenti potenzialmente complessi che sono più importanti per gli elettricisti e gli ingegneri elettrici in un “porta via” formato e condividere anche approfondimenti ed esperienza specifici dell’applicazione. Ogni argomento pubblicato sarà probabilmente importante per la maggior parte delle persone nel settore elettrico a tutti i livelli. Ogni post dovrebbe richiedere il lettore medio non più di 15-30 minuti per leggere. Il numero di argomenti pubblicati cresce ogni giorno. Se hai domande o hai interesse in un argomento particolare e desideri vederlo pubblicato, invia tutte le richieste a: [email protected].
Divertiti e visita spesso!
NOTA: l’autore, James Bernth, non si assume alcuna responsabilità per l’applicazione errata o l’imprecisione di qualsiasi informazione qui trovata. Tutte le informazioni pubblicate su questo sito sono al solo scopo dell’arricchimento personale e professionale e non sono mai destinate a essere l’unica risorsa. Tutte le informazioni critiche devono essere accuratamente studiate da più risorse per confermarne la validità prima di essere applicate.

Dic 7 Comprensione della corrente neutrale
introduzione
La corrente neutra è forse uno degli argomenti più fraintesi e trascurati nel campo elettrico. Avere una buona comprensione di come la corrente neutrale influisce sulla sicurezza e l’affidabilità di un sistema elettrico cambierà notevolmente il modo in cui si guarda al design del circuito AC o DC. Tuttavia, in questo post ci stiamo concentrando su concetti che si applicano specificamente ai neutrali del circuito CA.
“Corrente neutra” Formule
In un sistema monofase o 3-fase bilanciato, la corrente neutra calcolata è sempre = zero. In entrambi i casi, se la corrente neutra è un valore diverso da zero, il sistema così più a lungo “equilibrato.” Le correnti neutre devono essere strettamente considerate per garantire la sicurezza e l’affidabilità delle installazioni elettriche. Le formule seguenti sono per il calcolo delle correnti neutre nei sistemi monofase e 3-fasi e dovrebbero essere impegnate nella memoria.
Per la fase monofase: (Nota: sottrarre sempre la corrente più piccola dalla corrente maggiore, quindi il risultato è sempre positivo.)
N corrente = corrente L1 – corrente L2
Per trifase:

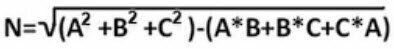
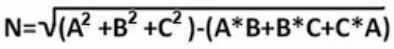
Per ricordare facilmente la formula di corrente neutra trifase, ho inventato un “Stupido, racconto con frasi accattivanti.” Questo rende facile ricordare non solo la formula stessa, ma anche come funziona la corrente neutra. Ecco qui:
“Qualcuno si è riversato sos sul pavimento nel casa. In modo da rimuovere e hanno NAltre cose a sinistra, dovevano SOP esso.”
Spiegazione: “Qualcuno si è riversato sos (Piace “salsa”) sul pavimento nella casa (sotto il simbolo della radice quadrata). In modo da rimuovere Esso (meno “-” segno o differenza) e avere Naltro a sinistra (N = 0), hanno dovuto SOP esso.” Il SOS rappresenta “Somma dei quadrati” Per ogni corrente di fase. Il SOP rappresenta “Somma dei prodotti” Per ogni corrente di fase.
Calcoli di corrente neutro:
Esempio 1: Un avvolgimento secondario a trasformatore 120/240VAC monofase è cablato a due carichi separati con un neutro condiviso. Carica 1 = 20 ampli. Carica 2 = 15 amplificatori. Calcola la corrente neutra.
Soluzione 1: Le connessioni L1 e L2 sul secondario del trasformatore sono opposti polari (180 gradi fuori fase). Pertanto, le due correnti avversarie attraverso L1 e L2 sottrarranno e torneranno alla sorgente attraverso lo stesso conduttore neutro a metà cyicles. Pertanto, la differenza tra le correnti L1 e L2 è:
L1 – L2 = N (corrente neutra)
20 amp – 15 amp = 5 amp di corrente neutra
C’è un concetto molto interessante al lavoro qui … poiché le correnti L1 e L2 sono fuori fase di 180 gradi, sottrattono durante ogni mezzo ciclo. Tuttavia, la corrente neutra è in fase con L1 durante il primo mezzo ciclo e in fase con L2 durante il secondo mezzo ciclo. Ciò consente alla corrente di fluire in una direzione alla volta attraverso il neutro condiviso.
NOTA: Esistono potenziali pericoli per la sicurezza quando si utilizzano un neutro condiviso che sono ulteriormente delineati in un altro post intitolato “Pericoli dei circuiti di ramo multi-filo” su questo sito. È necessario prestare attenzione per garantire la sicurezza e l’affidabilità dei circuiti utilizzando un neutro condiviso. L’apertura del neutro mentre sotto potenza può potenzialmente causare un divisore di tensione tra le gambe di tensione di linea e superare la valutazione della tensione su un apparecchio o un carico di attrezzatura, causando danni o un incendio. Inoltre, collegando due carichi monofase a “Come gli autobus” (io.e. L1 e L1 o L2 e L2) mentre la condivisione di un neutro causerà l’aggiunta delle correnti neutre invece di sottrarre e potenzialmente superare l’ampacità del conduttore neutro … potenzialmente causando un incendio.
Di norma, a causa di considerazioni sulla sicurezza, evito di usare un neutro condiviso quando possibile.
Esempio 2: Un interruttore a 2 poli da 120 VVAC a 2 poli-fase è cablato su due identici motori a induzione a fase singola 120VAC con un neutro condiviso. Ogni motore ha una corrente a pieno carico di 7.5 amp e stanno guidando due fan identici separati. Calcola la corrente neutra.
Soluzione 2: È importante notare che l’applicazione utilizza un interruttore a 2 poli, che assicura che il bus L1 sia collegato al motore n. 1, il bus L2 è collegato al motore n. 2 e le due correnti di carico sono 180 gradi fuori fase. Poiché i due carichi sono identici, le correnti saranno (per tutti gli scopi pratici) uguali. Pertanto, la corrente neutra è:
L1 – L2 = N (corrente neutra)
7.5 amp – 7.5 amp = 0 amp di corrente neutra
Pertanto, questo è un “equilibrato” Sistema monofase.
NOTA: Se uno di questi due fili caldi del motore della ventola è stato spostato su un circuito diverso e collegato con entrambi i caldi sullo stesso bus (i.e. L1 e L1 o L2 e L2), quindi le correnti non si annullano ma aggiungevano e potevano sovraccaricare il conduttore neutro … specialmente se il ventilatore si ostruisce o il motore della ventola era solo sporco e causava un aumento della razza amplificata.
Esempio 3: Una sorgente 480VAC e 3 afase è collegata a tre identici circuiti di illuminazione monofase a 277VAC con neutro condiviso. Supponendo che le distanze per gli apparecchi di illuminazione siano uguali, qual è la corrente neutra?
Soluzione 3: Dal momento che abbiamo a che fare con un pannello trifase, tutti e tre gli identici apparecchi di illuminazione dovrebbero essere contemporaneamente e collegati a tre bus di potenza avversari per ottenere un carico equilibrato e annullare tutte le correnti neutre su un amplificatore zero netto. Tuttavia, questo non è lo scenario probabile tra più apparecchi di illuminazione monofase. Inoltre, non vengono forniti i disegni di amplificatore del dispositivo. Pertanto, la corrente neutra non può essere calcolata. Se uno qualsiasi dei carichi monofase è collegato a bus comuni mentre condividono un neutro, tali correnti neutre si aggiungeranno invece di annullare e potrebbero potenzialmente superare l’ampacità del conduttore neutro … potenzialmente causando un incendio.
Esempio 4: Una sorgente a 3 fasi 208Y/120VAC è collegata a un piccolo pannello di illuminazione che fornisce energia a quattro identici circuiti di illuminazione fluorescente a fase a fase monofase. I carichi su ciascun circuito sono: Circuito n. 1 (Fase L1) = 5A. Circuito n. 2 (Fase L1) = 4.25a. Circuito #3 (Fase L2) = 7.5a. Circuito n. 4 (Fase L3) = 10A. Tutti i fili nei quattro circuiti hanno 12awg thhw filo con un neutro condiviso. Calcola la corrente neutra.
Soluzione 4: Inizia calcolando la corrente totale su ciascuna delle 3 fasi. Corrente l1 = 9.25a, corrente L2 = 7.5a e corrente L3 = 10a. Sostituendo ogni corrente di fase nella formula di corrente neutra seguente, la corrente neutra è 2.22 amp. Questo piccolo squilibrio è perfettamente accettabile e ben all’interno dell’ampacità del filo di 12awg a 75 gradi C. Tuttavia, ancora una volta, esistono gli stessi due pericoli qui. Se il conduttore neutro sui circuiti con fasi opposte viene sollevato mentre è sotto potenza, la tensione di linea a 208VAC tra le fasi opposte si dividerà tra i due infissi in base alla loro resistenza interna. Ciò potrebbe causare danni ai reattori e potenzialmente provocare un incendio. Inoltre, se uno dei circuiti viene spostato su un autobus comune mentre condivide un neutro, le correnti neutre si aggiungeranno invece di annullare … potenzialmente superano l’ampiezza del conduttore neutro.

Per i motivi di cui sopra, evito personalmente di usare i neutrali condivisi quando possibile perché sono sicuri solo se il neutro non viene mai sollevato mentre è sotto potenza e se tutti i comuni circuiti monofase che condividono un neutro rimangono su fasi avverse. penso che loro’re pericoloso e il rischio di incendio, lesioni personali e danni alla proprietà non vale il risparmio nel rame dal non eseguire neutri separati. Molti appaltatori elettrici usano neutri condivisi per tagliare gli angoli e risparmiare denaro sul cablaggio. Non approvo quella pratica. Tuttavia, solo per questo motivo, i neutri condivisi sono inevitabili. Li incontreremo sempre. È necessario prendere un’attenta considerazione in ciascuna applicazione per determinare se i neutrali condivisi possono presentare un potenziale pericolo per le persone o le attrezzature sensibili. Se è necessario utilizzare un neutro condiviso, la corrente neutra deve essere sempre calcolata per prevenire la possibilità di un pericolo di incendio. Inoltre, le precauzioni necessarie dovrebbero sempre essere prese (come l’uso di trecce a connessioni condivise) per prevenire potenziali pericoli quando i neutri vivi vengono disconnessi. Soprattutto, i circuiti con neutri condivisi dovrebbero essere sempre chiaramente e durabilmente contrassegnati e bundle con legami di filo per indicare a tutto il personale elettrico che i circuiti condividono un neutro. Ciò richiede educazione tra la comunità elettrica dagli elettricisti agli ingegneri elettrici. Solo il personale qualificato e accuratamente addestrato dovrebbe lavorare sui circuiti con neutri condivisi.
spero che tu’Vedo questo post e lo ha trovato utile. Suggerisco di leggere questo materiale più volte per commettere i concetti elettrici di base in memoria e far crescere il tuo set di abilità. Non esitate a visitare spesso e condividere questa preziosa risorsa con gli altri. ��
